| Streuwegmatrix in muffin-tin Clustern Berechnung mit Hilfe einer Rekursionsmethode im Rahmen des MTSW-Konzepts Anwendungen: Zustandsdichte und Kubo-Leitfähigkeit |
|
Gegeben sei ein cluster aus muffin-tin-Potentialen (MT, Orte R_s, Streuphasen η_(sl)).
Jedes MT hat seine regulären und singulär auslaufenden Lösungen mit bestimmten Drehimpulsen L=(l,m),
die im Außenraum freie Ausbreitung voraussetzen (die ''Drehimpulskanäle'').
Im MT R_s' werde im Drehimpulskanal L' eine singulär auslaufende Welle der Amplitude 1 erzeugt.
Außen entspricht das einer singulär auslaufenden Vakuumwelle (Drehimpuls L', Phasenfaktor exp(iη_(s'l'))).
Nach Vielfachstreuung im Cluster gibt es im Inneren aller MT reguläre Wellen mit komplexen Amplituden T_(sL,s'L')
(Streuwegmatrix): |
|
|
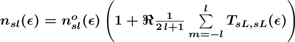
Die Streuwegmatrix erfasst alle in der Greenfunktion enthaltenen Streuungen außerhalb der MT,
wo laut Randbedingungen der Kanäle keine Streuungen erwartet werden. Die Diagonalelemente (s'=s, L'=L) liefern in den partiellen elektronischen Zustandsdichten, n_(sl)(ε), die Umgebungskorrekturen zu den Zustandsdichten der isolierten MT, n^o_(sl)(ε). |
|
|
Zur Berechnung der Diagonalelemente kann ein zweiseitiges Rekursionsverfahren eingesetzt werden
(C = PF, Kanal "0" ist der jeweilige Kanal (sL)). |
![]() |
