|
Spektrales Transportmodell ikosaedrischer Quasikristalle |
| Auf Skalen von einigen 10meV zeigen ikosaedrische Quasikristalle und deren kristalline Approximanten ähnliche Transportanomalien. Diese müssen im Zusammenwirken der beiden gemeinsamen ikosaedrischen Atomcluster entstehen. |
|
1.) Im Gegensatz zum Approximanten sind im Quasikristall die Atomcluster über große Entfernungen nichtperiodisch verknüpft. Das reduziert die spektrale Weite der Anomalien. 2.) Ein am Approximanten entwickeltes Modell der spektralen Leitfähigkeit σ(ε) kann auf die Bedingungen des Quasikristalls skaliert werden. Das skalierte Modell des Quasikristalls sollte dessen Transportverhalten auf Skalen um 10meV reproduzieren.
|
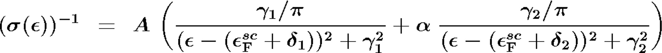
| Wir setzen für die atomare Skala und die cluster-Skala je eine Lorenzfunktionen entsprechender Energieweite γ an:
|
![]() |
| Für i-AlCuFe ist dieses Lorentzmodell durch die LMTO-ASA am 1/1-Approximanten (Cockayne Modell) bestätigt. |
![]() |
| Zum Thema: Arbeiten, Poster, Vorträge |

