Aufspaltung atomarer d-Resonanzen |
|
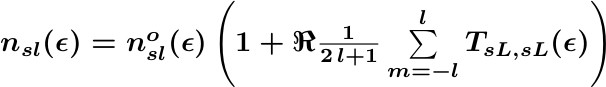
Die partiellen elektronischen Zustandsdichten (Atom s, Drehimpuls l, DOS des Atoms ohne Umgebung n^o_(sl)(ε))
kann man aus den Diagonalelementen der Streuwegmatrix berechnen: |
|
|
|
Wir untersuchen die Vielfachstreuung eines Atoms "Nummer s" mit nur einem Partneratom "Nummer n"
auf der Polarachse in Abständen bis zur zweiten Korrelationsschale. Alle Beiträge lassen sich als Folgen von Streuwegzyklen s-n-s darstellen. Die Zyklusmatrix PFPF zerfällt in Diagonalblöcke B_m, die jeweils nur einen aktiven Eigenwert besitzen. So können Betrag und Phase der Umgebungskorrektur (Index s unterdrückt) |
![]() |
| als Kontourplot über der Energie-Abstand-Ebene dargestellt werden. Die Abbildung zeigt T_2 für flüssiges Eisen bei 1833 K (Waseda). Die Positionen der ersten Maxima der Paarkorrelation sind rot markiert. |
![]() |
|
Phasenwerte 0 und π markieren die spektrale Verschiebung der Besetzung von d-Orbitalen.
Anzumerken ist die Begünstigung beider Teilschalen zweiter Nachbarn.
|
zum Thema |
| H. Solbrig, R. Arnold, M. Schubert, "The influence of d-resonance splitting on the electronic density of states of topologically disordered transition metals",J. Non-Crystalline Solids 156-158(1993)272-275 |

