Zinc as an example next up previous
Next: Summary and conclusions Up: Electronic interference at the Previous: Non-uniform neighbour-shell spacing

Zinc as an example

Divalent elements like zinc are close to $\overline{Z} = 1.81$ where a strong trend towards constructive electronic interference can be supposed. We employ the linear muffin-tin orbital method in the atomic-sphere approximation (LMTO [10]) and calculate the ASDOS of zinc in the crystalline hcp structure and in the liquid state at 723 K. The following details of our approach are to be noted: local exchange-correlation potential [12], hcp zinc represented by the cubical cell with four atoms, 4096 $\bf k$-points with gaussian broadening of the eigenvalues ($\sigma=0.12$ au), liquid zinc represented by a 92-atom supercell obtained from the experimental $g(r)$ function [11] by means of a reverse Monte-Carlo method, 20 special $\bf k$-points are considered with the same broadening of eigenvalues. Corresponding LMTO results have been reported by Jank and Hafner [9] in a more extended study of divalent elements. They employed 64-atom supercell models of the liquid phases.

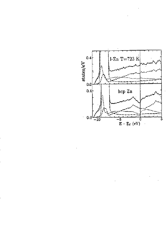
Fig.2 shows the ASDOS of hcp zinc. A pronounced pseudogap at the Fermi energy indicates the stabilizing influence of the electrons. We obtain the Fermi energy $E_F=10.7$ eV above the bottom of the total conduction band. However, this is not the right reference energy for a reasonable nearly-free electron description at the Fermi level. Hybridization with the narrow d-band has consequences which are hardly to estimate. We proceed as follows: Non-overlapping muffin-tin spheres ($R_{MT}=2.53$ au) are put into the atomic spheres ($R_{AS}=2.91$ au). The average potential between the two spheres (muffin-tin zero) is our choice of the reference energy. This provides $E_F=8.36$ eV=0.614 au, $k_F=\sqrt{E_F}=0.784$ $au^{-1}$, $\lambda_{FR}=\pi/k_F=4.01$ au, the scattering phase shifts $\delta_0=0.2736$, $\delta_1$=0.2340, $\delta_2=3.0992$ and the bare ASDOS $D_0^{(0)}=0.0759$ states/eV, $D_1^{(0)}=0.2178$ states/eV and $D_2^{(0)}=0.0499$ states/eV. Contributions with $l=2$ are disregarded in the following.

We will demonstrate that the stable shell sequence even of hcp zinc meets the requirements of stability as derived in the former section from the interference of scattering-path loops with only one scattering event. Fig.3 shows the pair correlation function $g(r)$ of hcp zinc, where an additional radial gaussian broadening is applied ($\sigma=0.7$ au).

\begin{displaymath}
g(r) = \frac{1}{4\pi r^2 N_0}
\sum_{\bf R_i} \frac{1}{\si...
...{2\pi}}
e^{-\frac{1}{2}
\left(\frac{r-R_i}{\sigma}\right)^2}
\end{displaymath} (19)

With $\frac{1}{4} \lambda_{FR}$ as the unit of distance the dashed lines indicate the sequence (8) of shell radii which makes the Fraunhofer diffraction peak at $2k_F=1.567$ $au^{-1}$ most pronounced. Note that the shells of hcp zinc follow very well the sequence (8). No misfit adds up due to shell splitting. This indicates that the neighbour-shell structure is stabilized by a force which involves the Friedel wave length. For proof whether the arguments of the former section really apply the standard functions (17) which account for low partial ASDOS and the weighted function, $S_{tot}(k_Fr)=[D^{(0)}_0(E_F) S_0(k_Fr) + D^{(0)}_1(E_F) S_1(k_Fr)]
/[D^{(0)}_0(E_F) + D^{(0)}_1(E_F)]$, for low $D_{tot}(E_F)$ are also displayed in Fig.3. Obviously, the interference condition which ensures low total ASDOS at $E_F$ is fulfilled, because, $(g(r)-1)$ and the weighted standard $S_{tot}(k_Fr)$ oscillate with opposite phases. One can even go one more step and ask which of the two minimization processes is the guiding one, this of $D_0(E_F)$ or that of $D_1(E_F)$. Fig.3 shows that the shell radii are clearly adapted to low $D_1(E_F)$ whereas $D_0(E_F)$ should rather be high. The trend towards low $p-$ASDOS is thus the guiding effect which is then transported to the other angular-momentum channels. As a consequence, there are also less pronounced minima in the other partial ASDOS curves ( (fig.2).

The results with liquid zinc are less conclusive ( (Fig.2). A possible weak pseudogap is seen below $E_F$. This challenges some comment. As a first peculiarity, the pseudogap at $E_F$ may be blurred by residual oscillations due to the incomplete $\bf k$-space treatment. However, this should not account for the obvious shift to lower energy. Note as a second peculiarity that really an artificial neighbour-shell sequence enters the LMTO calculation upon applying periodic boundary conditions, in particular if small supercells with only 64 or 92 atoms are used. Suppose the discussion of the former section applies, i.e. the pseudogap at $E_F$ is controlled by the interference of scattered waves which emerge from the stack of neighbour shells. In liquid metals, there are only four or five shells. They occupy distances where dominating short-range effects must be expected due to higher angular momenta. On such conditions, a weak pseudogap at $E_F$ should very sensitively depend on the medium-range order which really acts in the supercell calculation. Fig.4 shows the effective pair correlation function which enters our LMTO calculation. It is derived from the content of our 92-atom supercell upon applying periodic boundary conditions with a gaussian broadening ($\sigma=0.25$ au). The shells beyond the basic cube are slightly too wide. Moreover, due to the periodic translation of the supercell and in contrast to the experiment [11] the artificial shell structure continues up to large distances. Hence, with the excessive shell spacing the pseudogap must occur at lower energies. The absence of pseudogaps precisely at $E_F$ in the results of small-supercell calculations for liquid zinc cannot be taken as a proof. Larger supercells are required which comprise themselves the proper shell sequence. Moreover, unphysical long-range tails due to the employed periodic boundary conditions are to be suppressed.


next up previous
Next: Summary and conclusions Up: Electronic interference at the Previous: Non-uniform neighbour-shell spacing

2000-04-18