next up previous
Next: Library Up: Notation, the NDFT and Previous: Further NFFT papers

Inverse NFFT

As already mentioned, the reconstruction or recovery problem is to find for given data $ {f}$$ \in \mathbb{C}^M$ a suitable vector of Fourier coefficients $ {\hat f}$$ \in \mathbb{C}^{N_{\text{\tiny $\Pi$}}}$ satisfying $ {A}$   $ {\hat f}$$ \approx$   $ {f}$. Starting from the normal equations (2.3) and (2.5) it has been proven, that these are well conditioned for (see [7,1])

$\displaystyle N_t<C_d \delta^{-1}\,, \qquad \delta:=\max\limits_{j,l=0,\hdots,M...
...st}_{\infty}\left(\mbox{\boldmath {${x}$}}_j,\mbox{\boldmath {${x}$}}_l\right),$    

or (see [16])

$\displaystyle N_t>C_{\beta,d} q^{-1+\frac{1-d}{\beta}}\,, \qquad q:=\min\limits...
...st}_{\infty}\left(\mbox{\boldmath {${x}$}}_j,\mbox{\boldmath {${x}$}}_l\right),$    

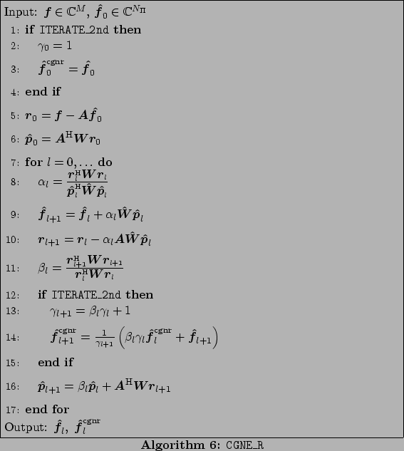
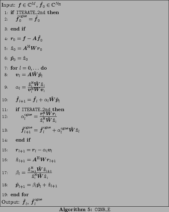
where $ t=0,\hdots,d-1$. The mesh norm $ \delta$ or the separation distance $ q$ have to be bounded with respect to the polynomial degree $ N_{\text{\tiny $\Pi$}}$. Once, a suitable multi bandwidth $ {N}$ has been chosen, one may apply one of the following iterative algorithms. The implemented algorithms are given below in pseudocode, see also [3,14]. Algorithm 3 is the only algorithm which computes the original residual $ {r}$$ _l$ in each step, all other algorithms iterate the residual. Algorithm 1 and 2 are used for the matrix vector multiplication with $ {A}$ and $ {A}$$ ^{\rm H}$, respectively.
\begin{algorithm}
% latex2html id marker 799
[ht!]
\caption{\tt LANDWEBER}
...
...end{algorithmic}
Output: $\mbox{\boldmath {${\hat f}$}}_{l}$
\end{algorithm}


\begin{algorithm}
% latex2html id marker 828
[ht!]
\caption{\tt STEEPEST\_DESC...
...end{algorithmic}
Output: $\mbox{\boldmath {${\hat f}$}}_{l}$
\end{algorithm}


\begin{algorithm}
% latex2html id marker 863
[ht!]
\caption{\tt CGNR\_E}
...
...t f}$}}_{l},\;\mbox{\boldmath {${\hat f}$}}_{l}^{\text{cgne}}$
\end{algorithm}


\begin{algorithm}
% latex2html id marker 938
[ht!]
\caption{\tt CGNE\_R}
...
...t f}$}}_{l},\;\mbox{\boldmath {${\hat f}$}}_{l}^{\text{cgnr}}$
\end{algorithm}

The memory usage of the iterative algorithms are given in the following Table 1.

Table 1: Memory usage of the iterative schemes.
Algorithm Memory usage
LANDWEBER $ 2M+2N_{\text{\tiny $\Pi$}}$
STEEPEST_DESCENT $ 3M+2N_{\text{\tiny $\Pi$}}$
CGNR_E $ 3M+\left(3\left(+1\right)\right)N_{\text{\tiny $\Pi$}}$
CGNE_R $ 2M+\left(2\left(+1\right)\right)N_{\text{\tiny $\Pi$}}$



next up previous
Next: Library Up: Notation, the NDFT and Previous: Further NFFT papers
Stefan Kunis 2004-09-03