next up previous
Next: Further NFFT papers Up: Notation, the NDFT and Previous: The algorithm


Window functions

Again, only the case $ d=1$ is presented. To keep the aliasing error and the truncation error small, several functions $ \varphi $ with good localisation in time and frequency domain were proposed, e.g. the (dilated) Gaussian [5,22,4]
$\displaystyle \varphi\left(x\right)$ $\displaystyle =$ $\displaystyle \left(\pi b\right)^{-1/2} \,
{\rm e}^{-\frac{\left(nx\right)^2}{b}}
\qquad
\left(b := \frac{2\sigma}{2 \sigma -1} \frac{m}{\pi} \right),$ (2.13)
$\displaystyle \hat \varphi \left(k\right)$ $\displaystyle =$ $\displaystyle \frac{1}{n} \, {\rm e}^{-b\left(\frac{\pi k}{n}\right)^2} ,$  

(dilated) cardinal central $ B$-splines [2,22]
$\displaystyle \varphi\left(x\right)$ $\displaystyle =$ $\displaystyle M_{2m}\left(n x\right),$ (2.14)
$\displaystyle \hat \varphi \left(k\right)$ $\displaystyle =$ $\displaystyle \frac{1}{n} {\rm sinc}^{2m} \left( k \pi/n\right),$ (2.15)

where $ M_{2m}$ denotes the centered cardinal $ B$-Spline of order $ 2m$,
(dilated) Sinc functions
$\displaystyle \varphi\left(x\right)$ $\displaystyle =$ $\displaystyle \frac{N\left(2\sigma-1\right)}{2m} {\rm sinc}^{2m} \left(\frac{\left(\pi N x \left(2\sigma-1\right)\right)}{2m} \right),$ (2.16)
$\displaystyle \hat \varphi \left(k\right)$ $\displaystyle =$ $\displaystyle M_{2m}\left(\frac{2mk}{\left(2\sigma-1\right)N}\right)$  

and (dilated) Kaiser-Bessel functions [15,9]
$\displaystyle \varphi\left(x\right)$ $\displaystyle =$ $\displaystyle \frac{1}{\pi} \left\{
\displaystyle \begin{array}{ll}
\displaysty...
...2 x^2 - m^2}\right)}{\sqrt{n^2 x^2-m^2}}
& \mbox{otherwise},
\end{array}\right.$ (2.17)
$\displaystyle \hat \varphi \left(k\right)$ $\displaystyle =$ $\displaystyle \frac{1}{n} \left\{
\displaystyle \begin{array}{cl}
\, I_0 \left(...
...s,
n \left(1-\frac{1}{2\sigma}\right),\\
0&{\rm otherwise},
\end{array}\right.$  

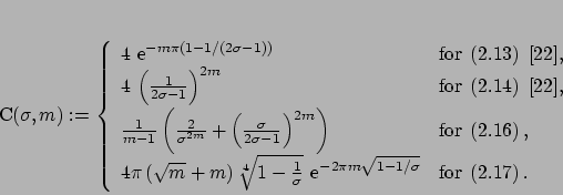
where $ I_0$ denotes the modified zero-order Bessel function. For these functions $ \varphi $ it has been proven that

$\displaystyle \vert f\left(\mbox{\boldmath {${x}$}}_j\right) - s\left(\mbox{\bo...
...t)\vert \le C\left(\sigma,m\right) \Vert\mbox{\boldmath {${\hat f}$}}\Vert _1
$

where

\begin{displaymath}
% latex2html id marker 9157
C\left(\sigma,m\right) :=
\le...
...{\rm for} \; \left(\ref{kaiser}\right).
\end{array}
\right.
\end{displaymath}

Thus, for fixed $ \sigma >1$, the approximation error introduced by the NFFT decays exponentially with the number $ m$ of summands in (2.11). Using the tensor product approach the above error estimates can be generalised for the multivariate setting [6]. On the other hand, the complexity of the NFFT increases with $ m$.



Subsections
next up previous
Next: Further NFFT papers Up: Notation, the NDFT and Previous: The algorithm
Stefan Kunis 2004-09-03